重讀這本書讓我回憶起一個專案,不過也不能算是重讀這本書,因為在此之前,我其實讀的是第一本2002年版的書,這次則是讀第二本2005年版的書。
岔題了,回頭來說我多年前輔導的UML/OOAD專案,在那個專案中,我帶領了一個六人的系統分析師團隊,其中絕大部分的人都是生手,聽過UML/OOAD但是沒有實際應用在專案中。這個專案後來夭折了,中途砍掉專案的原因當然很多,不過我倒是憶起當時我們大約每兩天就要開一次會議,一邊檢視我們的產出,一邊統一彼此的產出風格。
團隊成員會決定花時間統一產出的風格,並不是毫無緣由的。當時,一方面考量日後會加新人進團隊,有一致的風格會讓新進成員有跡可循,另一方面也考量當時訂下的風格可以成為公司正式的文件,以後公司所有的UML/OOAD專案無論是委外開發或是自行開發產出的文件內容都有一致的風格,不僅可以節省訂定統一風格的探索時間,也可以提高產出的效能和品質。
現在回想起來,如果當年大家都讀過Scott W. Ambler的書的話,應該可以節省不少開會時間吧!
不過,當時出錢的大老闆並不欣賞我們的做法,看團隊成員三天兩頭關在會議室熱烈地開著會,覺得我們在浪費時間,主事者的急功近利、眼光短淺其實是這個專案中途腰斬的最大原因。
統一風格當然是有好處的,不過這就像是建設下水道工程一般,建設平凡老百姓看不到的地方,很難爭取到選票,如同當時雖然團隊成員上下一心且投入極大的熱情,但是產出的東西還是很難說服主事者繼續掏出口袋裡的鈔票!
許多學者專家已經證明過,在專案進行中,貿然加入新的團隊成員,通常會拖慢專案進度,而非理想中的加快專案進度。當然,這個問題要認真討論起來,又要花上一大堆的篇幅了。
但是,統一風格卻是對團隊成員的擴充有幫助的。怎麼說?我想很多人都有中途加入專案的經歷,總是焦頭爛額地想在極短的時間內搞清楚產出的文件、搞清楚現在專案的進度及程序、搞清楚自己該產出什麼樣的文件、搞清楚自己該如何以最快的速度融入團隊!如果你沒有這樣會使人壓力大到胃潰瘍的經驗的話,恭喜你,不過請你現在想像一下這樣的場景。
所以說,倘若之前團隊產出的文件都有統一的風格的話,因為容易解釋與理解,所以方便現有的團隊成員解釋給新進的團隊成員聽,通常是一教就懂。如果UML/OOAD文件雜亂無章、毫無風格的話,新進成員腦袋裡會有一堆的問號,像無頭蒼蠅般纏著現有成員不放,不僅無法盡速投入工作,還會擾亂現有成員的工作進度與心情。
總之,簡單來說,有統一風格的產出文件,能夠讓UML圖更簡明且容易了解,也能夠讓UML圖更行得通且有效能。看了Scott W. Ambler的書後,認真地調整一下專案文件的風格,這可是提升產能的第一步喔,好比許多名人懷孕前喜歡找中醫抓藥調整體質一般,調整調整之後,總是很快就聽到懷孕的好消息了。
章節結構
這是一本200頁的小書,正文大約170頁,保證讀得完!讀小書其實很能建立信心,認真一點讀,總是讀得完。大書就不一定了,從書櫃拿下來就手軟,翻了兩頁就頭昏,電子辭典不離身,每本都讀不完,買了既傷荷包又傷心。
再者,小書也比較有詮釋與想像的空間,有留白的美感,容易引發讀者的思考;大書就不是這樣了,大書作者通常叨叨絮絮,什麼繁瑣細節都說光了,確實描寫的一清二楚,只不過少了可以讓讀者寫下感受的空間吧!這是我個人的體驗啦,所以我喜歡讀小書,當然很多時候不免還是得讀讀既傷荷包又傷眼的大書。
不過,這本書雖然篇幅少,章節可不少,共分為十七章。全書大抵可分為三個部份:前三章包含簡介、一般製圖指南及通用的UML元素指南;第四到十六章共十三章分別說明UML2的十三款圖;最後的第十七章簡單提到了敏捷建模(agile modeling)。
看完章節之後,我預計會挑讀前三章,至於第四到十七章,我只挑讀使用案例圖(use case diagram)、類別圖(class diagram)和循序圖(sequence diagram)這三章,理由很簡單,實務上用到最多的是這三款圖,其餘圖款即便我現在讀了,也會因為實務上用不到而忘記,倒不如等專案有用到時再回頭來讀。
真要開始動手整理這一條一條的指南,倒是讓我猶豫了一會兒。我私下在閱讀原文書時,會針對某些我覺得重要的句子在書頁的空白處隨手寫下簡單的、也恐怕只有自己看得懂的翻譯。現在真想把選讀的指南原文一一列出,也順便配上自己簡單的中譯時,不免猶豫了起來,雖然指南的原文句子都很簡潔,不過還是對自己上不了臺面的英文能力感到退卻。
總之,我還是會將選讀的指南原文一一列出,也嘗試著配上自己肉腳的中譯,一切只希望有助於你的閱讀。但是,也有很多條指南,我沒有按字面中譯,而是參照原文書中的說明,點出它們的重點。此外,指南前面的編號與Scott W. Ambler書上的編號相同,日後你若有興趣找原文書來閱讀的話,方便參照。
一般製圖指南
顧名思義,一般製圖指南就是所有圖的通則,無論是否為UML圖,洋洋灑灑一共有二十六條之多。原著作者將這二十六條指南分為四大類,接下來我就依循這四類區分成四個次小節一一說明。
易讀
以下這十三條指南,都是為了讓我們可以輕易閱讀圖面上的資訊,降低誤判或不易閱讀的可能性。指南1 避免交錯線(Avoid Crossing Lines)
|
|
| 圖1:交錯線 |
指南2 使用「跳躍」來描繪交錯線(Depict Crossing Lines as a Jump)
|
|
| 圖2:跳躍線 |
上述第一和二條指南的意思是說,避免使用像圖1的交錯線,容易誤判。如果真的無法避免交錯線的話,請採用如圖2的跳躍線來表示。
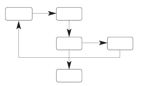
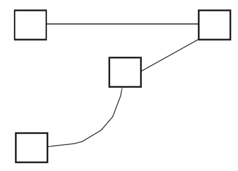
像是在UML活動圖中,複雜一些的流程,就很可能出現交錯線的情況,如圖3所示。
|
|
| 圖3:活動圖的交錯線 |
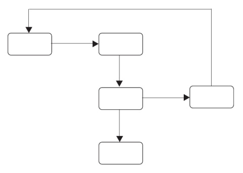
其實,圖3的情況很常見,我是認為也不會真的嚴重到造成什麼誤判啦,只是圖面上看起來比較醜些。簡單一點的圖,可以調整成圖4的樣子,去掉動線交錯的情況。
|
|
| 圖4:去掉交錯線 |
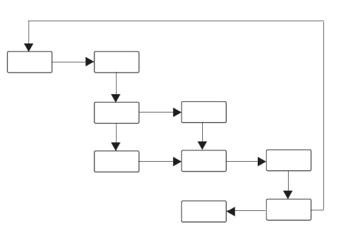
可是,我們來想像一下,如果出現如圖5,甚至於更複雜的情況時,很可能會有線段跨越整張活動圖。
|
|
| 圖5:跨越整張活動圖 |
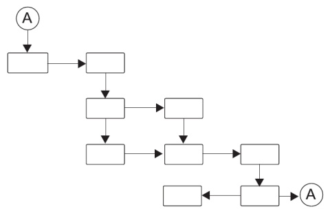
為了處理這種圖面上交錯線或橫跨線的表達問題,我們也可以在活動圖中使用「連接器」(connector),如圖6所示。連接器的圖示是成對的小圓,小圓內部標示出連接器的名稱,或者使用簡單的代碼也可以,比方說圖6中的連接器就簡單使用“A”代碼。圖5和圖6兩張圖同義,只不過圖6使用A連接器,把原先跨越整張活動圖的線段切斷了,再透過成對的A連接器標示出連接點。
|
|
| 圖6:圓形連接器 |
指南3 避免對角線或曲線(Avoid Diagonal or Curved Lines)
眼睛追隨著直線或橫線比較容易,所以避免使用像圖7的對角線或曲線。很多UML工具都有提供簡單的線條風格,供使用者選擇,比方我慣用的免費工具—StarUML,就可以讓使用者選擇使用直線或是斜線兩種不同的線條風格,如圖8所示。
|
|
| 圖7:對角線及曲線 |
|
|
| 圖8:線條風格 |
繪圖時,可以假想圖面上有一個棋盤式的格線,將節點擺放在格線交錯點上,讓線段沿著格線或直或橫,避免使用對角線或曲線,如圖9所示。
|
|
| 圖9:把節點放置格線交錯點上 |
指南4 使用一致尺寸的符號(Apply Consistently Sized Symbols)
較大型的節點比較突出,容易吸引觀看者的目光,所以除非你真的就是要突顯某一個節點,否則盡量使用一致尺寸的節點符號較佳。
不過,這一點對UML不太適用,因為UML的節點大小通常取決於節點內部的文字,文字多些,節點就大些。譬如,圖10的使用案例圖,不是因為「查詢餘額」這個使用案例特別重要,所以橢圓圖示特別大,而是因為這個使用案例的名稱比較多字。
|
|
| 圖10:不同尺寸 |
還好,使用案例的名稱可以選擇擺在橢圓外的下方處,如圖11所示。我個人就很喜歡把使用案例的名稱擺在外部下方,因為這樣橢圓大小一致,總覺得看起來比較舒服。
|
|
| 圖11:相同尺寸 |
不過,UML只有少部分的圖示可以像使用案例這樣將名稱外放,大多數的圖示像是類別圖中的類別(class)、或是活動圖中的動作(action)等等圖示,就沒辦法將內部的字標外放,所以節點尺寸大小不一。指南5 線段連到節點中央(Attach Lines to the Middle of Bubbles)
有很多條指南,原著作者都只是一、兩句話帶過,也沒太多說明,或許他認為這些指南是顯而易見的常識吧!例如,圖12的情況,左圖的線段沒有連接到節點中央,而是連接到角落處,原著作者認為這比較不易閱讀,要像右圖一樣,線段連到節點中央,會比較容易閱讀。
|
|
| 圖12:左圖不佳、右圖較佳 |
我則認為如果線段上有擺放字標的話,確實線段連到節點中央,會比較容易閱讀,我自己也會這樣調整圖面。不過,如果線段上沒有擺放字標的話,線段拉到節點角落處,倒是無妨,見仁見智啦!
指南6 字標水平放置(Align Labels Horizontally)
由於考慮到西方的書寫習慣,所以水平放置字標會比較好,如圖13中的字標一。雖然,中文的書寫習慣中,文字橫放、直放都無妨,不過由於字標橫放可以同時支援西式與中式的書寫方式,所以還是儘可能統一採用橫式書寫的好。
|
|
| 圖13:字標橫放較佳 |
指南7 符號整齊放置(Arrange Symbols Symmetrically)
其實,以格線為底稿的方式挺好用,盡量把節點放在格線的交錯點上,不要東一個、西一個的亂擺,看起來就整齊多了,如圖14的右圖就比左圖整齊多了。
|
|
| 圖14:把節點放置格線交錯點上 |
指南8 別指出「激增」節點(Don't Indicate “Exploding” Bubbles)
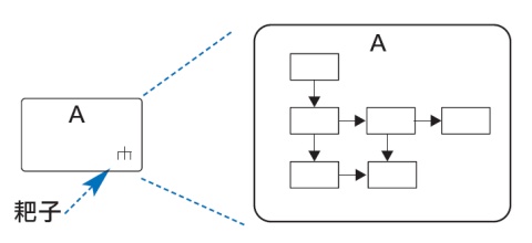
請先看圖15,在UML活動圖中,可以在活動圖示的右下方,放置一個像耙子(rake)的標誌,代表這個活動內部其實隱藏了活動細節,因此可以被展開。這個可以被展開的節點,就是指南字句上所謂的「激增」或「爆炸」開來的節點。
|
|
| 圖15:耙子是「可以展開」的標誌 |
指南字面上的意思好像是說「別用」這種還可以被進一步展開來的節點。原著作者沒有多做解釋,在這個指南的最後只說了句“The rake isn't adding any extra value.”—「可以展開」的節點沒有增加額外的價值?是這個意思嗎?我也不太懂。
但是,如果就實務來說,可以隱藏細節的節點,可以讓圖面看起來比較簡潔,我是覺得挺好用的。如果讀者你對這個指南有其他的詮釋或想法,歡迎不吝來信271080@gmail.com,與我分享,先謝了。
指南9 減少節點種類(Minimize the Number of Bubble Types)
圖的主要組成圖示,多半是節點和線段。節點種類最好不要超過六種,比六種少那更好。
指南10 圖面上要留白(Include White Space in Diagrams)
指南11 從左至右、由上至下組織圖示(Organize Diagrams Left to Right, Top to Bottom)
指南12 避免太多緊密的線段(Avoid Many Close Lines)
節點最好可以從左至右、由上至下放置,這同樣是配合西方的橫式書寫方式。至於,節點、線段之間,都不宜緊密放置,彼此之間留些空白,距離放大些,圖面清爽好讀,也會讓眼睛比較不疲倦。
指南13 提供表示法的圖例(Provide a Notation Legend)
你有沒有注意到,去郊外遊玩時,有些大型地圖看板的右下角或左下角會附上簡單的圖示說明,比方說用紅色虛線代表步道之類的,讓觀看者能夠理解。所以,除非可以保證所有人都懂圖面上的圖示,否則最好還是附上簡單的表示法圖例,如圖16所示。
|
|
| 圖16:圖例 |
這個系列將依序介紹《UML風格》書中的167條指南,下一期將介紹一般製圖指南的其他3類指南。
作者簡介:
邱郁惠
研究OOAD、UML、MDA十餘年,經歷過顧問、專案、教學及寫作工作。離職後創辦UML Blog推廣UML,組織《UML互助會》社群定期舉辦軟體技術講座,出版多本UML專業書籍與電子書。目前擁有OCUP/UML三級認證、PMP認證。
相關連結
沒時間讀 UML/OOAD 書之挑讀筆記 第1回 四色原型(1)
沒時間讀 UML/OOAD 書之挑讀筆記 第2回 四色原型(2)
沒時間讀 UML/OOAD 書之挑讀筆記 第3回 四色原型(3)
沒時間讀 UML/OOAD 書之挑讀筆記 第4回 四色原型(4)
沒時間讀 UML/OOAD 書之挑讀筆記 第5回 四色原型(終)
熱門新聞
2026-02-09
2026-02-06
2026-02-09
2026-02-09
2026-02-06
2026-02-09
2026-02-09















